2025年 最低賃金はいつから上がる?施行日の変更点
2025年の最低賃金は10月1日から2026年3月31日まで、都道府県別に順次施行されます。
最低賃金は「地域ごとに定められた時給の下限」です。
1円でも下回ると労基法違反となり、罰則の対象になります。特にパート・アルバイトの多い企業では直接的な影響が多き、人件費全体の見直しにも直結する大きなイベントです。
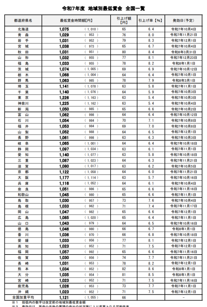
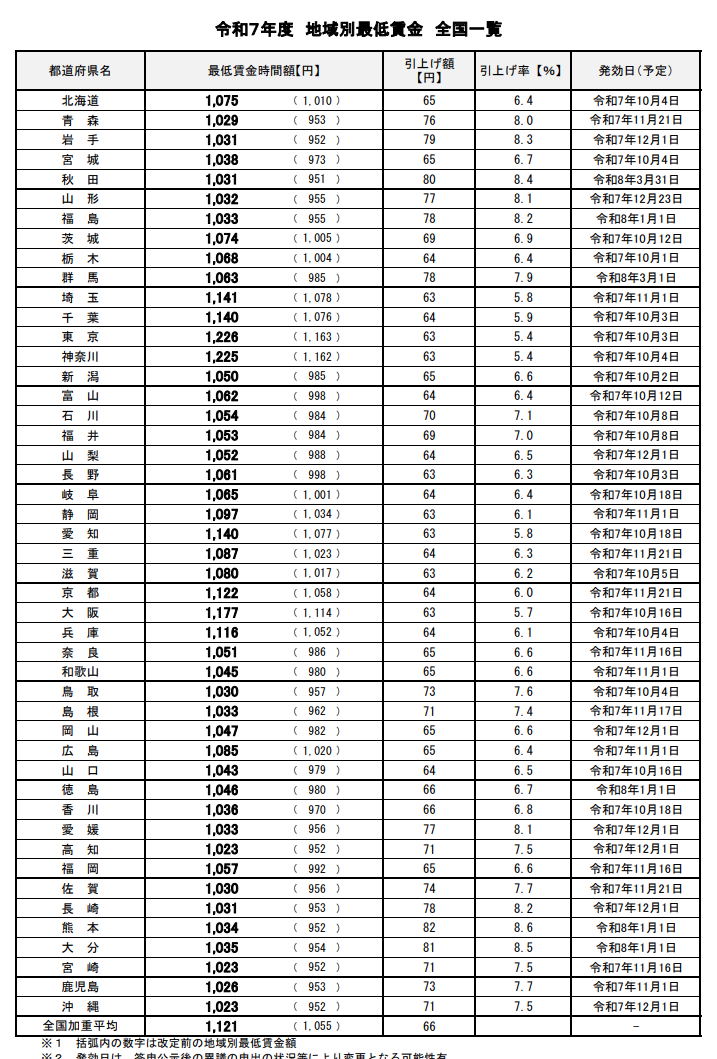
そんな最低賃金ですが、2025年度(令和7年度)の地域別最低賃金額改定に向けて、すべての都道府県で答申が出そろいましたね。
今年の全国平均は1,121円と、前年度から66円UP!引き上げ幅は過去最大となりました。
今年は、引き上げが適用される日にも大きな変化があります。
過去の例として、2024年度の地域別最低賃金額は、ほとんどの都道府県で2024年10月1日に適用されており、その後、11月1日までに順次適用となっていました。
しかし、今年は引き上げ幅の大きさの兼ね合いもあり「各地方最低賃金審議会が実態に即して発効日を柔軟に決定することが望ましい」という意見が出ており、引き上げは10月1日から2026年3月31日までに順次発効予定となっています。
とはいえ、多くの地域では変わらずの10月に改定が行われるため、今のうちに改定額を確認し、給与規定やシフト単価を調整する必要があります。
人事担当者にとっては「必ずチェックすべき秋の労務トピック」といえるでしょう。
企業が確認すべき3つのポイント
1.改定日を確認する
改定日は都道府県ごとに異なります。今年は、前述にもあるように10月初旬から2026年3月31日にかけて順次適用となるため、自社拠点の所在地の発行日を必ず確認しましょう。
2.給与計算の基礎を見直す
月給制の従業員も「所定労働時間で割った時給換算額」が最低賃金を下回っていないかを確認する必要があります。交通費や賞与など一部手当は含められない点に注意です。
3.就業規則・給与規定の更新
毎年の改年に合わせて、規程の表記を「地域別最低賃金に従う」としておくと、毎年の修正作業が減らせます。
📚 最低賃金改定に関連する重要情報
📌 賃金改定後の手続き
賃金改定後は社会保険料の見直しも必要です。月額変更届の提出期限をチェック↓
【実務担当者必見】月額変更届の提出漏れを防ぐ!8-9月に多い4月昇給者の対象判定と提出期限チェックリスト
📌 別の賃上げ方法の検討
インフレ手当での対応も選択肢の一つ。ただし社会保険料の対象になる点にご注意↓
【2025】全国の最低賃金一覧表

まとめ
最低賃金改定は、毎年必ずやってくる”労務のイベント”です。改定額を確認するだけでなく、給与規程や人件費シミレーションに直結するため、早めの準備が重要です。
人事担当者の皆様は、この時期に必ず自社の給与水準を点検し、トラブルを未然に防ぎましょう!
📰 関連情報
最低賃金の引き上げに伴い、人材確保がより重要に。
男性育休取得率40.5%達成や多様な正社員制度など、最新の人材定着策は社労士NEWS 2025年10月号をご参照ください↓

